Illustrate the operation of HEAP-EXTRACT-MAX on the heap \(A = \{15, 13, 9, 5, 12, 8, 7, 4, 0, 6, 2, 1\}\).
a.) 
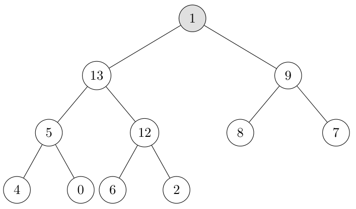
b.) 
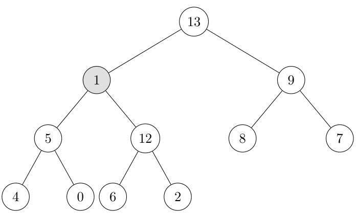
c.) 
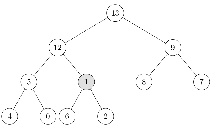
d.) 
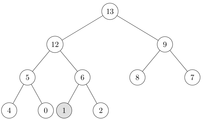
e.) 
The following LaTeX code was used to generate heap a:
\documentclass[border = 5pt, tikz]{standalone}
\begin{document}
\begin{tikzpicture}[
every node/.style = {minimum width = 2em, draw, circle},
shade/.style = {fill=black!15},
level/.style = {sibling distance = 50mm/#1}
]
\node {15}
child {node {13}
child {node {5}
child {node {4}}
child {node {0}}}
child {node {12}
child {node {6}}
child {node {2}}
}}
child {node {9}
child {node {8}
child {node {1}}
child [missing]
}
child {node {7}}};
\end{tikzpicture}
\end{document}The following LaTeX code was used to generate heap b:
\documentclass[border = 5pt, tikz]{standalone}
\begin{document}
\begin{tikzpicture}[
every node/.style = {minimum width = 2em, draw, circle},
shade/.style = {fill=black!15},
level/.style = {sibling distance = 50mm/#1}
]
\node [shade] {1}
child {node {13}
child {node {5}
child {node {4}}
child {node {0}}}
child {node {12}
child {node {6}}
child {node {2}}
}}
child {node {9}
child {node {8}
}
child {node {7}}};
\end{tikzpicture}
\end{document}The following LaTeX code was used to generate heap c:
\documentclass[border = 5pt, tikz]{standalone}
\begin{document}
\begin{tikzpicture}[
every node/.style = {minimum width = 2em, draw, circle},
shade/.style = {fill=black!15},
level/.style = {sibling distance = 50mm/#1}
]
\node {13}
child {node [shade] {1}
child {node {5}
child {node {4}}
child {node {0}}}
child {node {12}
child {node {6}}
child {node {2}}
}}
child {node {9}
child {node {8}
}
child {node {7}}};
\end{tikzpicture}
\end{document}The following LaTeX code was used to generate heap d:
\documentclass[border = 5pt, tikz]{standalone}
\begin{document}
\begin{tikzpicture}[
every node/.style = {minimum width = 2em, draw, circle},
shade/.style = {fill=black!15},
level/.style = {sibling distance = 50mm/#1}
]
\node {13}
child {node {12}
child {node {5}
child {node {4}}
child {node {0}}}
child {node [shade] {1}
child {node {6}}
child {node {2}}
}}
child {node {9}
child {node {8}
}
child {node {7}}};
\end{tikzpicture}
\end{document}The following LaTeX code was used to generate heap e:
\documentclass[border = 5pt, tikz]{standalone}
\begin{document}
\begin{tikzpicture}[
every node/.style = {minimum width = 2em, draw, circle},
shade/.style = {fill=black!15},
level/.style = {sibling distance = 50mm/#1}
]
\node {13}
child {node {12}
child {node {5}
child {node {4}}
child {node {0}}}
child {node {6}
child {node [shade] {1}}
child {node {2}}
}}
child {node {9}
child {node {8}
}
child {node {7}}};
\end{tikzpicture}
\end{document}