We say that a binary search tree \(T_1\) can be right-converted to binary search tree \(T_2\) if it is possible to obtain \(T_2\) from \(T_1\) via a series of calls to RIGHT-ROTATE. Give an example of two trees \(T_1\) and \(T_2\) such that \(T_1\) cannot be right-converted to \(T_2\). Then, show that if a tree \(T_1\) can be right-converted to \(T_2\), it can be right-converted using \(O(n^2)\) calls to RIGHT-ROTATE.
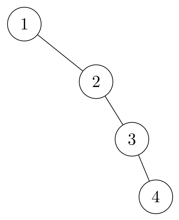
Let \(T_1\) be

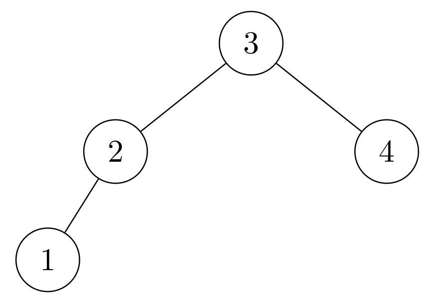
and let \(T_2\) be

First of all, we can see that both \(T_1\) and \(T_2\) satisfy the requirements of a Binary Search Tree (which, oddly enough, the actual solution manual fails to consider). Immediately we see that \(T_1\) cannot be RIGHT-ROTATEd into \(T_2\) because \(T_1\) cannot be RIGHT-ROTATEd at all! The operation RIGHT-ROTATE(\(x\)) requires that \(x.\text{left} \neq NIL\) when in fact \(x.\text{left} = NIL\) for all \(x \in T_1\).
Next, consider a pair of binary search trees \(T_1\) and \(T_2\) where \(T_1\) can be right-converted to \(T_2\). By definition, \(T_1\) and \(T_2\) must have an identical inorder traversal, otherwise they could not be converted to one another. Therefore we know that both \(T_1\) and \(T_2\) share an identical set of keys and differ only in shape. At one extreme, we have the trivial case in which \(T_1\) and \(T_2\) also share a shape in which case they are equivalent.
What about the other extreme? In the worst case, \(T_1\) is a left-skewed chain and \(T_2\) is a balanced Binary Search Tree with the same inorder traversal. The RIGHT-ROTATE operation promotes a node up one depth-level every time it runs. The solution follows intuitively from this thought process, but let’s approach it a bit more formally.
Suppose that node \(k\) is at depth \(d_1(k)\) in \(T_1\) and depth \(d_2(k)\) in \(T_2\). To get from depth \(d_1(k)\) to depth \(d_2(k)\), the node must move upward by \(\Delta(k) = d_1(k) - d_2(k)\). Since RIGHT-ROTATE can move \(k\) up by at most 1 level of depth, we know that node \(k\) requires at most \(\Delta(k)\) calls to RIGHT-ROTATE.
The total number of rotations required to transform \(T_1\) into \(T_2\) is then
\[\sum_k \Delta(k) = \sum_k (d_1(k) - d_2(k))\]We know that \(d_2(k)\) is always \(\ge 0\) so the worst case is when \(d_2(k)\) is 0:
\[\sum_k d_1(k)\]This is the sum of the depths of the initial tree. In the worst-case we have a left-skewed BST of height \(n\) with depths of \(0, 1, 2, ..., n-1\). The sum of these depths is:
\[0 + 1 + 2 + \cdots + (n - 1) = \frac{n(n-1)}{2} = O(n^2)\]Therefore:
\[\sum_k d_1(k) = O(n^2)\]The following block of LaTeX code was used to generate \(T_1\):
\documentclass[border = 5pt, tikz]{standalone}
\begin{document}
\begin{tikzpicture}[
every node/.style = {minimum width = 2em, draw, circle},
level distance = 12mm,
level/.style = {sibling distance = 30mm/#1}
]
\node {1}
child [missing]
child { node {2}
child [missing]
child { node {3}
child [missing]
child { node {4} }
}
};
\end{tikzpicture}
\end{document}The following block of LaTeX code was used to generate \(T_2\):
\documentclass[border = 5pt, tikz]{standalone}
\begin{document}
\begin{tikzpicture}[
every node/.style = {minimum width = 2em, draw, circle},
level distance = 12mm,
level/.style = {sibling distance = 30mm/#1}
]
\node {3}
child { node {2}
child { node {1} }
child [missing]
}
child { node {4} };
\end{tikzpicture}
\end{document}